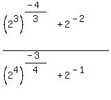
SOLUTION: 8-4/3 power + 2 -2 power ___________ ___________ 16 -3/4 power + 2 -1 power

Algebra ->  Radicals -> SOLUTION: 8-4/3 power + 2 -2 power ___________ ___________ 16 -3/4 power + 2 -1 power      Log On


   



Question 232784: 8-4/3 power + 2 -2 power
________________________
16 -3/4 power + 2 -1 power

Answer by jsmallt9(3758) About Me  (Show Source):
You can put this solution on YOUR website!
Probably the easiest way to do this problem comes from recognizing that 16 and 8 are powers of 2. 2%5E4+=+16 and 2%5E3+=+8. So we can start by rewriting 16 and 8 as powers of, making every term a power of 2:

Using the rule for exponents %28a%5Ex%29%5Ey+=+a%5E%28x%2Ay%29:
%282%5E-4+%2B+2%5E-2%29%2F%282%5E-3+%2B+2%5E-1%29

Note that all the fractional exponents are gone. This is the big advantage of this method. There are a couple of ways to go from here.
  • If we recognize what multiplying the numerator and denominator by 2%5E4 will do:
    %28%282%5E-4+%2B+2%5E-2%29%2F%282%5E-3+%2B+2%5E-1%29%29%282%5E4%2F2%5E4%29
    %282%5E-4%2A2%5E4+%2B+2%5E-2%2A2%5E4%29%2F%282%5E-3%2A2%5E4+%2B+2%5E-1%2A2%5E4%29
    Using the rule for exponents, a%5Ex%2Aa%5Ey+=+a%5E%28x%2By%29:
    %282%5E0+%2B+2%5E2%29%2F%282%5E1+%2B+2%5E3%29
    Raising 2 to the various powers, including 2%5E0+=+1:
    %281+%2B+4%29%2F%282%2B8%29+=+5%2F10+=+1%2F2
  • Using x%5E%28-n%29+=+1%2Fx%5En to rewrite all these terms with negative exponents:
    %281%2F2%5E4+%2B+1%2F2%5E2%29%2F%281%2F2%5E3+%2B+1%2F2%5E1%29
    Raising 2 to the various powers:
    %281%2F16+%2B+1%2F4%29%2F%281%2F8+%2B+1%2F2%29
    Adding the fractions, getting common denominators first of course:
    %281%2F16+%2B+4%2F16%29%2F%281%2F8+%2B+4%2F8%29
    %285%2F16%29%2F%285%2F8%29
    Changing the division to multiplication by the reciprocal:
    %285%2F16%29%288%2F5%29
    40%2F80
    1%2F2

If you do not recognize that 16 and 8 are powers of 2, you would have to rewrite every term without exponents. I'm not going to do all of this but I will get you started.:

As you can see, factoring the exponent allows us to handle the numerator, the denominator and the negative sign separately. Using this approach on the other parts of the expression we get:
%281%2F16+%2B+1%2F4%29%2F%281%2F8+%2B+1%2F2%29
Adding the "little" fractions:
%285%2F16%29%2F%285%2F8%29
%285%2F16%29%2A%288%2F5%29
40%2F80
1%2F2