SOLUTION: square root of (2x-5)- square root (x-3)=1 solve for x.

Algebra ->  Radicals -> SOLUTION: square root of (2x-5)- square root (x-3)=1 solve for x.      Log On


   



Question 223075: square root of (2x-5)- square root (x-3)=1
solve for x.

Answer by jsmallt9(3758) About Me  (Show Source):
You can put this solution on YOUR website!
To solve this we need to eliminate the square roots. To eliminate square roots
  1. Isolate a square root. (Get it by itself on one side of the equation.)
  2. Square both sides of the equation. (Note: Whenever you square both sides of an equation, it becomes necessary to check your answers. This is so because squaring both sides of an equation can introduce what are called "extraneous" solutions ("solutions" that don't actually work).
  3. Repeat as many times as necessary to eliminate all the square roots.

Let's use this to eliminate the square roots in sqrt%282x-5%29+-+sqrt%28x-3%29+=+1:
Step 1: Isolate a square root. Let's add sqrt%28x-3%29 to both sides:
sqrt%282x-5%29+=+sqrt%28x-3%29+%2B+1
Step 2: Square both sides:
%28sqrt%282x-5%29%29%5E2+=+%28sqrt%28x-3%29+%2B+1%29%5E2
Remember, exponents do NOT distribute over a binomial. We will need to use FOIL (or the perfect binomial square parttern: %28a%2Bb%29%5E2+=+a%5E2+%2B+2ab+%2B+b%5E2) to square the right side!
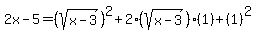
2x+-+5+=+%28sqrt%28x-3%29%29%5E2+%2B+2%28sqrt%28x-3%29%29%281%29+%2B+%281%29%5E2
2x+-+5+=+x-3+%2B+2sqrt%28x-3%29+%2B+1
2x+-+5+=+x-2+%2B+2sqrt%28x-3%29
And one square root is gone. But we still have a square root so we will repeat the procedure:
Step 1: Isolate a square root. Subtract x from both sides:
x+-+5+=+-2+%2B+2sqrt%28x-3%29
Add 2 to both sides:
x+-+3+=+2sqrt%28x-3%29
Divide both sides by 2 (or multiply both sides be 1/2):
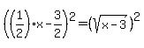
%281%2F2%29x+-+3%2F2+=+sqrt%28x-3%29
Now the square root is isolated.
Step 2: Square both sides:
%28%281%2F2%29x+-+3%2F2%29%5E2+=+%28sqrt%28x-3%29%29%5E2
%28%281%2F2%29x%29%5E2+-+2%28%281%2F2%29x%29%283%2F2%29+%2B+%283%2F2%29%5E2+=+x+-+3
%281%2F4%29x%5E2+-+%283%2F2%29x+%2B+9%2F4+=+x+-+3
And our square roots are gone. Now we are ready to find the solution(s) to this equation. However, since working with fractions usually makes things a little more difficult, I'm going to eliminate the fractions by multiplying both sides by 4:
x%5E2+-+6x+%2B+9+=+4x+-+12
Since this is a quadratic equation we'll start by getting one side equal to zero:
Subtract 4x from both sides:
x%5E2+-10x+%2B+9+=+-12
Add 12 to both sides:
x%5E2+-+10x+%2B+21+=+0
Now we can solve this by factoring (or with the quadratic formula). Since this factors pretty easily:
%28x+-+7%29%28x-3%29+=+0
By the Zero Product Property we know that the only way for this (or any) product to be zero is if one or more of the factors is zero. So we know that
x-7 = 0 or x-3 = 0
Solving we get:
x = 7 or x = 3

Now we cannot forget that we must check our answer(s) since we squared both sides of an equation earlier. And we must use the original equation to check:
sqrt%282x-5%29+-+sqrt%28x-3%29+=+1

Let's see if 7 works:
sqrt%282%287%29-5%29+-+sqrt%28%287%29-3%29+=+1
sqrt%2814-5%29+-+sqrt%284%29+=+1
sqrt%289%29+-+sqrt%284%29+=+1
Since sqrt%289%29+=+3 and sqrt%284%29+=+2:
3+-+2+=+1
1+=+1
So x=7 checks and it is a solution.

Let's see if 3 works:
sqrt%282%283%29-5%29+-+sqrt%28%283%29-3%29+=+1
sqrt%286-5%29+-+sqrt%280%29+=+1
sqrt%281%29+-+sqrt%280%29+=+1
Since sqrt%281%29+=+1 and sqrt%280%29+=+0:
1+-+0+=+1
1+=+1
So x=3 also checks and it is also a solution.