SOLUTION: Please show step by step. For all x>0 and y>0, the radical expression √x/3√x-√y is equivalent to

Algebra ->  Radicals -> SOLUTION: Please show step by step. For all x>0 and y>0, the radical expression √x/3√x-√y is equivalent to      Log On


   



Question 199880: Please show step by step. For all x>0 and y>0, the radical expression √x/3√x-√y is equivalent to
Answer by jim_thompson5910(35256) About Me  (Show Source):
You can put this solution on YOUR website!
%28sqrt%28x%29%29%2F%28sqrt%28x%29-sqrt%28y%29%29 Start with the given expression.


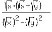
Multiply both the numerator and denominator by sqrt%28x%29%2Bsqrt%28y%29


FOIL


%28sqrt%28x%29%28sqrt%28x%29%2Bsqrt%28y%29%29%29%2F%28x-y%29 Square the square roots.


%28sqrt%28x%29%2Asqrt%28x%29%2Bsqrt%28x%29%2Asqrt%28y%29%29%2F%28x-y%29 Distribute


%28sqrt%28x%5E2%29%2Bsqrt%28xy%29%29%2F%28x-y%29 Combine the roots.


%28x%2Bsqrt%28xy%29%29%2F%28x-y%29 Take the square root of x%5E2 to get "x"


So %28sqrt%28x%29%29%2F%28sqrt%28x%29-sqrt%28y%29%29=%28x%2Bsqrt%28xy%29%29%2F%28x-y%29 where x%3E0, y%3E0, and x%3C%3Ey


If you have any questions, email me at jim_thompson5910@hotmail.com.
Check out my website if you are interested in tutoring.