SOLUTION: i dont understand how the fractional exponets work for example in the book theey have an example that looks like... 2(x-2)2/3=50 and the steps goes like this 2(x-2)2/3=50 (x-2)2/3=

Algebra ->  Radicals -> SOLUTION: i dont understand how the fractional exponets work for example in the book theey have an example that looks like... 2(x-2)2/3=50 and the steps goes like this 2(x-2)2/3=50 (x-2)2/3=      Log On


   



Question 198436: i dont understand how the fractional exponets work for example in the book theey have an example that looks like... 2(x-2)2/3=50 and the steps goes like this 2(x-2)2/3=50 (x-2)2/3=25 [(X-2)2/3]3/2=25 3/2 /x-2/1=25 3/2 x-2=125 but idk how u get 125? and the problem i worked was 2(x+4) 3/2 = 54 and my teach. thght us to do it like this [2(x+4)3/2]2=(54)2 2(x+3)=2916 2(+3)3/2=54
_______ __
2 2 =
(x+3)=27 and now i dont know if im on the right path or what the next step is im soo confused my teach. shows me different fromthe book but when i go to do my h.w i cant ask her cause she not there all i have is the book and she hasnt taught us from the book she thought us from what she knows. so please HELP ME!!! its on page 386 ex 2 i need help on this whole section really!

Answer by Earlsdon(6294) About Me  (Show Source):
You can put this solution on YOUR website!
When you see an expression such as x%5E%282%2F3%29, it means that you must square the x (that's the what the 2 in the numerator of the exponent means) squared then you take the cube root of the result (that's what the 3 in the denominator indicates).
Now if you see x%5E%282%2F3%29+=+25 you can find x by raising both sides to the power that's the inverse of the given exponent 2%2F3, like this:
%28x%5E%282%2F3%29%29%5E%283%2F2%29+=+%2850%29%5E%283%2F2%29 On the left side, you have to multiply the exponents to get an exponent of 1 %28x%5E%282%2F3%29%29%5E%283%2F2%29+=+x%5E%28%282%2F3%29%2A%283%2F2%29%29=x%5E1+=+x
So now you have:
x+=+25%5E%283%2F2%29 So you now cube the 25 25%5E3+=+15625 and then take the square root of 15625 sqrt%2815625%29+=+125 and so...
x+=+125
Now let's look at your problem:
2%28x-2%29%5E%282%2F3%29+=+50 Divide both sides by 2.
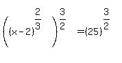
%28x-2%29%5E%282%2F3%29+=+25 Now raise both sides to the power 3%2F2
%28%28x-2%29%5E%282%2F3%29%29%5E%283%2F2%29+=+%2825%29%5E%283%2F2%29 Multiply the exponents on the left side.
%28x-2%29+=+sqrt%2825%5E3%29
x-2+=+sqrt%2815625%29
x-2+=+125 Add 2 to both sides.
highlight%28x+=+127%29