Question 18837: Solve by using Quadratic Formula
12x^2-10x-3=0
5x^2+4x-5=0
Answer by mbarugel(146) (Show Source):
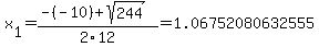
You can put this solution on YOUR website! The solutions to are
| Solved by pluggable solver: SOLVE quadratic equation (work shown, graph etc) |
Quadratic equation (in our case ) has the following solutons:

For these solutions to exist, the discriminant should not be a negative number.
First, we need to compute the discriminant : .
Discriminant d=244 is greater than zero. That means that there are two solutions: .


Quadratic expression can be factored:

Again, the answer is: 1.06752080632555, -0.234187472992221.
Here's your graph:
 |
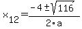
The solutions to are
| Solved by pluggable solver: SOLVE quadratic equation (work shown, graph etc) |
Quadratic equation (in our case ) has the following solutons:

For these solutions to exist, the discriminant should not be a negative number.
First, we need to compute the discriminant : .
Discriminant d=116 is greater than zero. That means that there are two solutions: .


Quadratic expression can be factored:

Again, the answer is: 0.677032961426901, -1.4770329614269.
Here's your graph:
 |
|
|
|