SOLUTION: 3 over square root 7 - square root 2 simplify. The 3 on top confuses me.

Algebra ->  Radicals -> SOLUTION: 3 over square root 7 - square root 2 simplify. The 3 on top confuses me.      Log On


   



Question 182831This question is from textbook saxon algebra 2
: 3 over square root 7 - square root 2
simplify. The 3 on top confuses me.
This question is from textbook saxon algebra 2

Answer by rapaljer(4671) About Me  (Show Source):
You can put this solution on YOUR website!
Do you mean 3%2F%28sqrt%287%29-sqrt%282%29%29+???

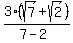
If so, then the trick is to multiply numerator and denominator times the same thing as the denominator but with the opposite sign in the middle. This is called the "conjugate" of the denominator. In other words multiply numerator and denominator times sqrt%287%29+%2B+sqrt%282%29+. It looks like this:


When you multiply out the denominator you get
3%28sqrt%287%29+%2B+sqrt%282%29+%29%2F%287-2%29+.
3%28sqrt%287%29+%2B+sqrt%282%29+%29%2F5+.

If you need extra explanation on SQUARE ROOTS, go to my website by clicking on my tutor name "Rapaljer" anywhere in algebra.com. On my Homepage, look for about the third link that says "Basic, Intermediate, and College Algebra: One Step at a Time." Click on this, then click on "Basic Algebra." Go to "Chapter 5 (Square Roots)". The explanations, examples, and exercises are integrated and easier to understand than traditional textbooks. Answers to all problems are provided, and many of the exercises are solved in the "MATH IN LIVING COLOR" pages. Check it out! Like Algebra.com, it's all free!!

R^2