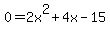
Quadratic equation (in our case ) has the following solutons:

For these solutions to exist, the discriminant should not be a negative number.
First, we need to compute the discriminant : .
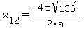
Discriminant d=136 is greater than zero. That means that there are two solutions: .


Quadratic expression can be factored:

Again, the answer is: 1.91547594742265, -3.91547594742265.
Here's your graph:
 |