SOLUTION: i need help with radical t+12-t=0 and 5 radical x + 1 =3

Algebra ->  Radicals -> SOLUTION: i need help with radical t+12-t=0 and 5 radical x + 1 =3       Log On


   



Question 151655: i need help with radical t+12-t=0 and 5 radical x + 1 =3
Answer by jim_thompson5910(35256) About Me  (Show Source):
You can put this solution on YOUR website!
sqrt%28t%2B12%29-t=0 Start with the given equation.


sqrt%28t%2B12%29=t Add t to both sides.


t%2B12=t%5E2 Square both sides.



-t%5E2%2Bt%2B12=0 Subtract t%5E2 from both sides.


Notice we have a quadratic equation in the form of at%5E2%2Bbt%2Bc where a=-1, b=1, and c=12


Let's use the quadratic formula to solve for t


t+=+%28-b+%2B-+sqrt%28+b%5E2-4ac+%29%29%2F%282a%29 Start with the quadratic formula


t+=+%28-%281%29+%2B-+sqrt%28+%281%29%5E2-4%28-1%29%2812%29+%29%29%2F%282%28-1%29%29 Plug in a=-1, b=1, and c=12


t+=+%28-1+%2B-+sqrt%28+1-4%28-1%29%2812%29+%29%29%2F%282%28-1%29%29 Square 1 to get 1.


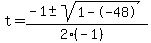
t+=+%28-1+%2B-+sqrt%28+1--48+%29%29%2F%282%28-1%29%29 Multiply 4%28-1%29%2812%29 to get -48


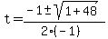
t+=+%28-1+%2B-+sqrt%28+1%2B48+%29%29%2F%282%28-1%29%29 Rewrite sqrt%281--48%29 as sqrt%281%2B48%29


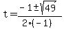
t+=+%28-1+%2B-+sqrt%28+49+%29%29%2F%282%28-1%29%29 Add 1 to 48 to get 49


t+=+%28-1+%2B-+sqrt%28+49+%29%29%2F%28-2%29 Multiply 2 and -1 to get -2.


t+=+%28-1+%2B-+7%29%2F%28-2%29 Take the square root of 49 to get 7.


t+=+%28-1+%2B+7%29%2F%28-2%29 or t+=+%28-1+-+7%29%2F%28-2%29 Break up the expression.


t+=+%286%29%2F%28-2%29 or t+=++%28-8%29%2F%28-2%29 Combine like terms.


t+=+-3 or t+=+4 Simplify.


So the possible solutions are t+=+-3 or t+=+4

However, we must first check them


Check:

Let's check the possible solution t=-3


sqrt%28t%2B12%29-t=0 Start with the given equation.


sqrt%28%28-3%29%2B12%29-%28-3%29=0 Plug in t=-3.


6=0 Evaluate and simplify the left side.


Since the equation is not true, this means that t=-3 is not a solution.




Let's check the possible solution t=4


sqrt%28t%2B12%29-t=0 Start with the given equation.


sqrt%28%284%29%2B12%29-%284%29=0 Plug in t=4.


0=0 Evaluate and simplify the left side.


Since the equation is true, this means that t=4 is a solution.



========================================================

Answer:

So the solution is t=4







5%2Asqrt%28x%2B1%29=3 Start with the given equation.


sqrt%28x%2B1%29=3%2F5 Divide both sides by 5.


x%2B1=9%2F25 Square both sides.


x=9%2F25-1 Subtract 1 from both sides.


x=-16%2F25 Combine the fractions.



========================================================

Answer:

So the solution is x=-16%2F25