SOLUTION: I need to simplify: -5+ the square root of 3 divided by 1 - the square root of 2. I believe the first step would be to elimate the radical from the denomenator so I would multiply

Algebra ->  Radicals -> SOLUTION: I need to simplify: -5+ the square root of 3 divided by 1 - the square root of 2. I believe the first step would be to elimate the radical from the denomenator so I would multiply       Log On


   



Question 148951: I need to simplify: -5+ the square root of 3 divided by 1 - the square root of 2. I believe the first step would be to elimate the radical from the denomenator so I would multiply by square root of 2 on the bottom and top. From there I am stuck.
I thought it would be: -5+ square root of 3 times the square root of 2, divided by 1 - the square root of 2 time the square root of 2. Which equals: -5square root of 2 + square root of 6 divided by -1. Where am i going wrong?

Answer by Alan3354(69443) About Me  (Show Source):
You can put this solution on YOUR website!
I need to simplify: -5+ the square root of 3 divided by 1 - the square root of 2. I believe the first step would be to elimate the radical from the denomenator so I would multiply by square root of 2 on the bottom and top. From there I am stuck.
I thought it would be: -5+ square root of 3 times the square root of 2, divided by 1 - the square root of 2 time the square root of 2. Which equals: -5square root of 2 + square root of 6 divided by -1. Where am i going wrong?
--------------------
%28-5%2Bsqrt%283%29%29%2F%281-sqrt%282%29%29
If you multiply by sqrt(2), you get %28-5sqrt%282%29%2Bsqrt%286%29%29%2F%28sqrt%282%29-2%29
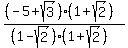
That won't help. The trick is to multiply thru by the "conjugate" of the DEN. In this case, it's 1+%2B+sqrt%282%29
------------

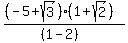
=%28%28-5%2Bsqrt%283%29%29%2A%281%2Bsqrt%282%29%29%29%2F%28%281-2%29%29
=%28-5+%2B+sqrt%283%29+-+5sqrt%282%29%2B+sqrt%286%29%29%2F%28%28-1%29%29
=5+-+sqrt%283%29+%2B+5sqrt%282%29-+sqrt%286%29%29