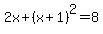
SOLUTION: please explain how to solve 2x+(x+1)^=8

Algebra ->  Radicals -> SOLUTION: please explain how to solve 2x+(x+1)^=8      Log On


   



Question 148103: please explain how to solve
2x+(x+1)^=8

Answer by jim_thompson5910(35256) About Me  (Show Source):
You can put this solution on YOUR website!
2x%2B%28x%2B1%29%5E2=8 Start with the given equation.


2x%2Bx%5E2%2B2x%2B1=8 Foil.


2x%2Bx%5E2%2B2x%2B1-8=0 Subtract 8 from both sides.


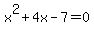
x%5E2%2B4x-7=0 Combine like terms.


Notice we have a quadratic equation in the form of ax%5E2%2Bbx%2Bc where a=1, b=4, and c=-7


Let's use the quadratic formula to solve for x


x+=+%28-b+%2B-+sqrt%28+b%5E2-4ac+%29%29%2F%282a%29 Start with the quadratic formula


x+=+%28-%284%29+%2B-+sqrt%28+%284%29%5E2-4%281%29%28-7%29+%29%29%2F%282%281%29%29 Plug in a=1, b=4, and c=-7


x+=+%28-4+%2B-+sqrt%28+16-4%281%29%28-7%29+%29%29%2F%282%281%29%29 Square 4 to get 16.


x+=+%28-4+%2B-+sqrt%28+16--28+%29%29%2F%282%281%29%29 Multiply 4%281%29%28-7%29 to get -28


x+=+%28-4+%2B-+sqrt%28+16%2B28+%29%29%2F%282%281%29%29 Rewrite sqrt%2816--28%29 as sqrt%2816%2B28%29


x+=+%28-4+%2B-+sqrt%28+44+%29%29%2F%282%281%29%29 Add 16 to 28 to get 44


x+=+%28-4+%2B-+sqrt%28+44+%29%29%2F%282%29 Multiply 2 and 1 to get 2.


x+=+%28-4+%2B-+2%2Asqrt%2811%29%29%2F%282%29 Simplify the square root (note: If you need help with simplifying square roots, check out this solver)


x+=+%28-4%29%2F%282%29+%2B-+%282%2Asqrt%2811%29%29%2F%282%29 Break up the fraction.


x+=+-2+%2B-+sqrt%2811%29 Reduce.


x+=+-2%2Bsqrt%2811%29 or x+=+-2-sqrt%2811%29 Break up the expression.


So our answers are x+=+-2%2B1%2Asqrt%2811%29 or x+=+-2-1%2Asqrt%2811%29


which approximate to x=1.317 or x=-5.317