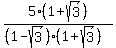
Divide

Form the conjugate of the denominator, which is
,
then multiply by 
*
*

----------------------------------
3 and 2 over 3 + 2i

Form the conjugate of the denominator, which is
,
then multiply by 
*



That would do for an answer. But sometimes
you are asked to leave a complex number in
the form
So you would distribute that out:
Edwin