SOLUTION: Simplify 1/(sqrt(2) + 2 + sqrt(3)) + 1/(sqrt(2) - 2 - sqrt(3)).

Algebra ->  Radicals -> SOLUTION: Simplify 1/(sqrt(2) + 2 + sqrt(3)) + 1/(sqrt(2) - 2 - sqrt(3)).      Log On


   



Question 1209233: Simplify 1/(sqrt(2) + 2 + sqrt(3)) + 1/(sqrt(2) - 2 - sqrt(3)).
Answer by Edwin McCravy(20077) About Me  (Show Source):
You can put this solution on YOUR website!

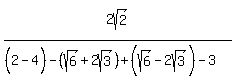
1%2F%28sqrt%282%29+%2B+2+%2B+sqrt%283%29%29+%2B+1%2F%28sqrt%282%29+-+2+-+sqrt%283%29%29

We combine the fractions over the LCD, using A%2FB%2BC%2FD=%28AD%2BBC%29%2F%28BD%29







Combine the terms on top, and FOIL out the bottom:





2sqrt%282%29%5E%22%22%2F%28-5-4sqrt%283%29%29

Rationalize the denominator:

2sqrt%282%29%5E%22%22%2F%28-5%5E%22%22-4sqrt%283%29%29%22%22%2A%22%22%28-5%2B4sqrt%283%29%5E%22%22%29%2F%28-5%5E%22%22%2B4sqrt%283%29%29

%28-10sqrt%282%29%2B8sqrt%286%29%29%2F%2825-16%2A3%29

%28-10sqrt%282%29%2B8sqrt%286%29%29%2F%2825-48%29

%28-10sqrt%282%29%2B8sqrt%286%29%29%2F%28-23%29

Multiply top and bottom by -1

%2810sqrt%282%29-8sqrt%286%29%29%2F%2823%29

Edwin