SOLUTION: Simplify and state restrictions: 3x-1/X^2+4X-5+5X/X^2-4X+3

Algebra ->  Radicals -> SOLUTION: Simplify and state restrictions: 3x-1/X^2+4X-5+5X/X^2-4X+3       Log On


   



Question 1180274: Simplify and state restrictions:
3x-1/X^2+4X-5+5X/X^2-4X+3

Answer by MathLover1(20850) About Me  (Show Source):
You can put this solution on YOUR website!
%283x-1%29%2F%28x%5E2%2B4x-5%29%2B5x%2F%28x%5E2-4x%2B3%29.......factor

%283x-1%29%2F%28x%5E2-x%2B5x-5%29%2B5x%2F%28x%5E2-x-3x%2B3%29

%283x-1%29%2F%28%28x%5E2-x%29%2B%285x-5%29%29%2B5x%2F%28%28x%5E2-x%29-%283x-3%29%29

%283x-1%29%2F%28x%28x-1%29%2B5%28x-1%29%29%2B5x%2F%28x%28x-1%29-3%28x-1%29%29

%283x-1%29%2F%28%28x%2B5%29%28x-1%29%29%2B5x%2F%28%28x-3%29%28x-1%29%29







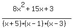
+%288+x%5E2+%2B+15+x+%2B+3%29%2F%28%28x%2B5%29%28x-1%29%28x-3%29%29

restrictions: x%3C%3E-5,x%3C%3E1,x%3C%3E3