SOLUTION: How might you apply a radical expression in everyday life? Dicuss the situation and how the equation might look like. I am having a difficult time coming up with an example. Please

Algebra ->  Radicals -> SOLUTION: How might you apply a radical expression in everyday life? Dicuss the situation and how the equation might look like. I am having a difficult time coming up with an example. Please      Log On


   



Question 117492: How might you apply a radical expression in everyday life? Dicuss the situation and how the equation might look like. I am having a difficult time coming up with an example. Please help it is due Dec. 18
Answer by solver91311(24713) About Me  (Show Source):
You can put this solution on YOUR website!
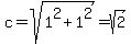
You need to build a triangular shelf that fits into a right-angled corner. The sides of the triangle that are against the walls are each 1 foot long. How long do you need to cut the piece of moulding that dresses up the edge of the shelf that faces outward? (Hint: the edge that faces outward is the hypotenuse of an isoceles right triangle with legs of 1.

Apply Pythagoras:

c=sqrt%281%5E2%2B1%5E2%29=sqrt%282%29