SOLUTION: Simplify 5 square root of 2 divided 2-i by rationalizing the denominator

Algebra ->  Radicals -> SOLUTION: Simplify 5 square root of 2 divided 2-i by rationalizing the denominator      Log On


   



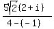
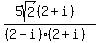
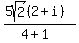
Question 1127573: Simplify 5 square root of 2 divided 2-i by rationalizing the denominator
Answer by MathLover1(20850) About Me  (Show Source):