SOLUTION: For my question, I have to rationalize the denominator. Please help me to solve the equation is 17/sqrt 17 (17 over square root 17, I hope I entered that correctly). I have tried s

Algebra ->  Radicals -> SOLUTION: For my question, I have to rationalize the denominator. Please help me to solve the equation is 17/sqrt 17 (17 over square root 17, I hope I entered that correctly). I have tried s      Log On


   



Question 1116203: For my question, I have to rationalize the denominator. Please help me to solve the equation is 17/sqrt 17 (17 over square root 17, I hope I entered that correctly). I have tried several times to do this right and I can't seem to grasp it :( Thank you in advance.
Found 2 solutions by Alan3354, josgarithmetic:
Answer by Alan3354(69443) About Me  (Show Source):
You can put this solution on YOUR website!
For my question, I have to rationalize the denominator. Please help me to solve the equation is 17/sqrt 17
-----------
17/sqrt(17) is not an equation - there's no equal sign.
----------
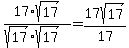
Multiply NUM and DEN by the DEN
--> 17%2Asqrt%2817%29%2F%28sqrt%2817%29%2Asqrt%2817%29%29+=+17sqrt%2817%29%2F17
= sqrt%2817%29
------------
Sometimes you can use a simpler method:
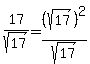
17%2Fsqrt%2817%29+=+%28sqrt%2817%29%29%5E2%2Fsqrt%2817%29
= sqrt(17)

Answer by josgarithmetic(39631) About Me  (Show Source):