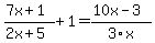
SOLUTION: 1.) (7x+1)/(2x+5) + 1 = (10x-3)/3x 2.) 10/(x^2-2x) + 4/x = 5/(x-2)
Algebra
->
Radicals
-> SOLUTION: 1.) (7x+1)/(2x+5) + 1 = (10x-3)/3x 2.) 10/(x^2-2x) + 4/x = 5/(x-2)
Log On
Algebra: Radicals -- complicated equations involving roots
Section
Solvers
Solvers
Lessons
Lessons
Answers archive
Answers
Click here to see ALL problems on Radicals
Question 111024
:
1.) (7x+1)/(2x+5) + 1 = (10x-3)/3x
2.) 10/(x^2-2x) + 4/x = 5/(x-2)
Answer by
HyperBrain(694)
(
Show Source
):
You can
put this solution on YOUR website!
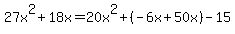
Using the quadratic formula,
OR
or
Hey, I just continue this later. Ook?
...to be continued...