SOLUTION: One pair of integers (x.y) solves {{{ sqrt( 4*sqrt( 7 )+11 )=y+sqrt( x ) }}}, find x*y.

Algebra ->  Radicals -> SOLUTION: One pair of integers (x.y) solves {{{ sqrt( 4*sqrt( 7 )+11 )=y+sqrt( x ) }}}, find x*y.      Log On


   



Question 1107093: One pair of integers (x.y) solves +sqrt%28+4%2Asqrt%28+7+%29%2B11+%29=y%2Bsqrt%28+x+%29+, find x*y.
Found 2 solutions by Edwin McCravy, MathTherapy:
Answer by Edwin McCravy(20086) About Me  (Show Source):
You can put this solution on YOUR website!
+sqrt%28+4%2Asqrt%28+7+%29%2B11+%29=y%2Bsqrt%28+x+%29+

square both sides:

+4%2Asqrt%28+7+%29%2B11+=%28y%2Bsqrt%28+x+%29%29%5E2+

+4%2Asqrt%28+7+%29%2B11+=y%5E2%2B2y%2Asqrt%28+x+%29%2Bx+

Since x and y are integers we can set the integer terms
on the left equal to the integer terms on the right

11+=y%5E2%2Bx+

and we can set the irrational terms on the left equal to the
irrational terms n the right:


+4%2Asqrt%28+7+%29+=2y%2Asqrt%28+x+%29+

It's quite obvious that to have integer solutions
x must be 7, and y must be 2.

We see if that checks in

11+=y%5E2%2Bx+
11+=2%5E2%2B7+
11+=4%2B7+
11+=11+

Yes it does, so x*y = 7*2 = 14

Edwin

Answer by MathTherapy(10839) About Me  (Show Source):
You can put this solution on YOUR website!
One pair of integers (x.y) solves +sqrt%28+4%2Asqrt%28+7+%29%2B11+%29=y%2Bsqrt%28+x+%29+, find x*y.
***************************************************************
                              sqrt%284sqrt%287%29+%2B+11%29%29
                              sqrt%2811+%2B+4sqrt%287%29%29
                    sqrt%2811+%2B+2%282%29sqrt%287%29%29 ----- Replacing 4 with its PRIME factors, 2 & 2
                         sqrt%2811+%2B+2sqrt%284%29sqrt%287%29%29 ----- Converting 2 to sqrt%284%29                 
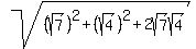
                      sqrt%287+%2B+4+%2B+2sqrt%287%29sqrt%284%29%29 ---- Changing 11 to 7 + 4             
     sqrt%28%28sqrt%287%29%29%5E2+%2B+%28sqrt%284%29%29%5E2+%2B+2sqrt%287%29sqrt%284%29%29 ---- Converting 
The above is in the form: %28a+%2B+b%29%5E2, with system%28matrix%282%2C3%2C+a%2C+being%2C+sqrt%287%29%2C+b%2C+being%2C+sqrt%284%29%29%29, and so:
sqrt%28%28sqrt%287%29%29%5E2+%2B+%28sqrt%284%29%29%5E2+%2B+2sqrt%287%29sqrt%284%29%29 then becomes: sqrt%28%28sqrt%287%29+%2B+sqrt%284%29%29%5E2%29 
                                                                                sqrt%287%29+%2B+sqrt%284%29 ----- Cancelling SQUARE and SQUARE ROOT
                                                                                sqrt%287%29+%2B+2

√(4√(7+11)) = sqrt%287%29+%2B+2, is in the form: y + √x, with y = 2, and x = 7. Therefore, x*y = 7(2) = 14.