Question 1095268: how much xsquare -y square ? if x+y=66 xy=9
Found 4 solutions by MathTherapy, greenestamps, ikleyn, KMST: Answer by MathTherapy(10839) (Show Source): Answer by greenestamps(13355) (Show Source): Answer by ikleyn(53875) (Show Source): Answer by KMST(5377) (Show Source):
You can put this solution on YOUR website! ONE WAY:
Maybe we know about solving quadratic equations.
Sometimes we can solve a quadratic equation such as by factoring if we find two integers such that and .
Then those values for and are the solutions of the equation and the equation is really
.
The solutions to a quadratic equation of the form are always two numbers whose sum and product can be found are and respectively.
Unfortunately, sometimes those numbers are irrational, or even imaginary, and then factoring is not an option.
Then, w must use algebra to "complete the square" and then solve, or apply the dreaded quadratic formula
that says the solutions to an equation of the form are given by

To avoid confusion, I used for the variable instead of , and I prefer equations where the leading coefficient is , so I wrote my equation as .
I will make and to get .
The solutions will be the numbers and (or and ) that add up to and whose product is .
The quadratic formula tells me that the solution are given by

The solutions to the equation are and 
One is and the other is , but there is no way to guess which was intended to be and which was intended to be .
and are
and

The possible answers are
and 
ANOTHER APPROACH:
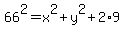
We know that . If we only knew the value of we could easily find the value of
We know that , but to calculate we would need the value of
We know that and we know the values of and 
Substituting the known values we get --> -->
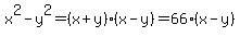
Now we can use that value of to calculate the values of and , and from that find the value of 

Then 
Multiplying times
|
|
|