Question 108975: Hello out there,I need some help with some tough problems,the first one is,Simplify:2(S.ROOT)5+2(S.ROOT)5.The next one is,Find the value of a if the points are the indicated distances apart.(2,a)and (-3,-2),when d=(S.ROOT)34.The third one is,Find the distance between the two points given.Round to the nearest tenth,if necessary.(4,0)and(6,3).And the last one is,Find the distance between the two points given.Round to the nearest tenth,if necessary.(1,1)and(3,2),thanks to whoever can help.
Answer by ankor@dixie-net.com(22740) (Show Source):
You can put this solution on YOUR website! Simplify:2(S.ROOT)5+2(S.ROOT)5.
Assume you mean:
= ; these are like terms just add 'em
:
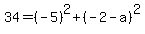
Find the value of a if the points are the indicated distances apart.
:
Learn the distance formula: 
:
(2,a)and (-3,-2),when d=(S.ROOT)34. Substitute for x1,y1; x2,y2; and d

:
Squaring both sides get rid of the radicals

:

:
; FOILed (-2-a)(-2-a)
:
Arrange as quadratic equation:

:

:
Factors to:
(a + 5)(a - 1) = 0
:
a = -5
and
a = +1
:
:
Find the distance between the two points given.Round to the nearest tenth,if necessary.(4,0)and(6,3)

:

Now you can do it
:
:
Find the distance between the two points given.Round to the nearest tenth,if necessary.(1,1)and(3,2),

Do this one the same way
|
|
|