Let's use the quadratic formula to solve for x:
Starting with the general quadratic

the general solution using the quadratic equation is:

So lets solve ( notice , , and )
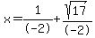
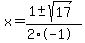
Plug in a=-1, b=-1, and c=4
Negate -1 to get 1
Square -1 to get 1 (note: remember when you square -1, you must square the negative as well. This is because .)
Multiply to get 
Combine like terms in the radicand (everything under the square root)
Simplify the square root (note: If you need help with simplifying the square root, check out this solver)
Multiply 2 and -1 to get -2
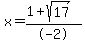
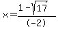
So now the expression breaks down into two parts
or 
Now break up the fraction
or 
Simplify
or 
So the solutions are:
or 
|