SOLUTION: Find the value of m and n if {{{(125^(1/2)+(5/64)^(-1/2)-sqrt(5)*(25/16)^(3/4))*(2/(sqrt(5)+2))=(2/5)(m+n*sqrt(5))}}}.

Algebra ->  Radicals -> SOLUTION: Find the value of m and n if {{{(125^(1/2)+(5/64)^(-1/2)-sqrt(5)*(25/16)^(3/4))*(2/(sqrt(5)+2))=(2/5)(m+n*sqrt(5))}}}.      Log On


   



Question 1041398: Find the value of m and n if .
Found 3 solutions by Alan3354, Fombitz, stanbon:
Answer by Alan3354(69443) About Me  (Show Source):
You can put this solution on YOUR website!
1 equation in 2 variables has no unique solution.
============
You can let m = 0 (or other value) and solve for n, or vice versa.

Answer by Fombitz(32388) About Me  (Show Source):
You can put this solution on YOUR website!
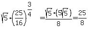
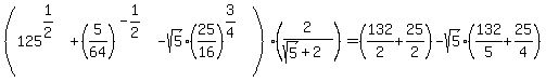
125%5E%281%2F2%29=5sqrt%285%29

sqrt%285%29%2A%2825%2F16%29%5E%283%2F4%29=sqrt%285%29%2A%285sqrt%285%29%29%2F8=25%2F8
So then,



and

2%2F%28sqrt%285%29%2B2%29=%284-2sqrt%285%29%29%2F%284-5%29
2%2F%28sqrt%285%29%2B2%29=%284-2sqrt%285%29%29%2F%28-1%29
2%2F%28sqrt%285%29%2B2%29=2sqrt%285%29-4
So then multiplying,






So then,
157%2F2=%282%2F5%29m
m=785%2F4
and
%282%2F5%29n=-653%2F20
n=-653%2F8

Answer by stanbon(75887) About Me  (Show Source):
You can put this solution on YOUR website!
Find the value of m and n if
(125^(1/2)+(5/64)^(-1/2)-sqrt(5)*(25/16)^(3/4))*(2/(sqrt(5)+2)) =
(2/5)(m+n*sqrt(5))
========
(5sqrt(5) + 8/sqrt(5) - sqrt(5)*sqrt(5)/2 * (2(sqrt(5)-2)/(1))
= (2/5)(m+n*sqrt(5))
------
(13sqrt(5) - (5/2)*(2sqrt(5)-4) = (2/5)m + (2sqrt(5)/5)n
--------
13sqrt(5) - 5sqrt(5)-10 = (2/5)m + (2/5)sqrt(5)n
----
8sqrt(5) - 10 = (2/5)m + (2/5)sqrt(5)n
-------------------
(2/5)m = 10 and (2/5)sqrt(5)n = 8sqrt(5)
m = 25 and (2/5)n = 8
m = 25 and n = 20
----------------------
Cheers,
Stan H.
-----------------