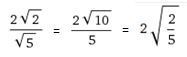
SOLUTION: simplify 2 square root 2 over square root 5.
Algebra
->
Radicals
-> SOLUTION: simplify 2 square root 2 over square root 5.
Log On
Algebra: Radicals -- complicated equations involving roots
Section
Solvers
Solvers
Lessons
Lessons
Answers archive
Answers
Click here to see ALL problems on Radicals
Question 1014656
:
simplify 2 square root 2 over square root 5.
Answer by
addingup(3677)
(
Show Source
):
You can
put this solution on YOUR website!