SOLUTION: I have two limit questions: Find the derivative of f(x) = 2/x at x = -2. Find the derivative of f(x) = -9/x at x = -8. Please help!

Algebra ->  Quadratic-relations-and-conic-sections -> SOLUTION: I have two limit questions: Find the derivative of f(x) = 2/x at x = -2. Find the derivative of f(x) = -9/x at x = -8. Please help!      Log On


   



Question 984535: I have two limit questions:
Find the derivative of f(x) = 2/x at x = -2.
Find the derivative of f(x) = -9/x at x = -8.
Please help!

Answer by jim_thompson5910(35256) About Me  (Show Source):
You can put this solution on YOUR website!
I'll do the first problem to get you started.








-------------------------------------------------------
































-------------------------------------------------------------------------------


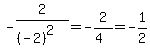
Therefore, the derivative of f(x) is -2%2F%28x%5E2%29


Now plug in x = -2 to get -2%2F%28%28-2%29%5E2%29=-2%2F%284%29+=+-1%2F2


The final answer is -1%2F2


I'll let you do the other problem.