SOLUTION: Find the eccentricity of the graph whose equation is 14x2 + 16y2 = 224.

Algebra ->  Quadratic-relations-and-conic-sections -> SOLUTION: Find the eccentricity of the graph whose equation is 14x2 + 16y2 = 224.       Log On


   



Question 975228: Find the eccentricity of the graph whose equation is 14x2 + 16y2 = 224.
Answer by lwsshak3(11628) About Me  (Show Source):
You can put this solution on YOUR website!
Find the eccentricity of the graph whose equation is
14x2 + 16y2 = 224.
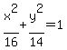
divide by 224:
x%5E2%2F16%2By%5E2%2F14=1
This is an equation of an ellipse with horizontal major axis and center at the origin.
Its standard form of equation: %28x-h%29%5E2%2Fa%5E2%2B%28y-k%29%5E2%2Fb%5E2=1, a>b, (h,k)= coordinates of center
For given equation:
a^2=16
a=4
b^2=14
c^2=a^2-b^2=16-14=2
c=√2
eccentricity=c/a=√2/4