SOLUTION: Hello, I really need urgent help on solving these following conics equations from it's standard form (provided) to Y form. I know it's a lot of them, but it will be very appreciate

Algebra ->  Quadratic-relations-and-conic-sections -> SOLUTION: Hello, I really need urgent help on solving these following conics equations from it's standard form (provided) to Y form. I know it's a lot of them, but it will be very appreciate      Log On


   



Question 972270: Hello, I really need urgent help on solving these following conics equations from it's standard form (provided) to Y form. I know it's a lot of them, but it will be very appreciated. Also no work is required, just the solution.
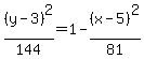
(y-3)^2/144 + (x-5)^2/81 = 1 -> y=
(x+7)^2 + (y-7)^2 = 49 -> y=
(x-1)^2 - (y+8)^2 = 1 -> y=
(x-9)^2 - (y+8)^2= 1 -> y=
(y-11/2)^2/1 + (x+7)^2/4 = 1 -> y=
(x+15/2)^2 + (y-11/2)^2 = 1/8 -> y=
(x+7)^2=(y-1) -> y=
(x-15)^2=(y-3) -> y=
If you guys need my Desmos graph with the equations + graph here it is:
https://www.desmos.com/calculator/oojoaizwcs
If you could graph the Y forms into a calculator and make sure it matches my standard form graph as shown on Desmos (optional). Thanks!

Answer by MathLover1(20850) About Me  (Show Source):
You can put this solution on YOUR website!
%28y-3%29%5E2%2F144+%2B+%28x-5%29%5E2%2F81+=+1
%28y-3%29%5E2%2F144++=+1-+%28x-5%29%5E2%2F81
%28y-3%29%5E2++=+144-+144%28x-5%29%5E2%2F81
%28y-3%29%5E2++=+144-+16%28x-5%29%5E2%2F9
%28y-3%29%5E2++=+-%2816%2F9+%29%28x%5E2-10x-56%29
y-3++=+sqrt%28-%2816%2F9+%29%28x%5E2-10x-56%29%29
y-3++=%284%2F3%29+sqrt%28-%28x%5E2-10x-56%29%29
y-3++=%284%2F3%29+sqrt%28-x%5E2%2B10x%2B56%29
y+=%284%2F3%29+sqrt%28-x%5E2%2B10x%2B56%29%2B3

solutions:
y+=%284%2F3%29+sqrt%28-x%5E2%2B10x%2B56%29%2B3
y+=-%284%2F3%29+sqrt%28-x%5E2%2B10x%2B56%29%2B3


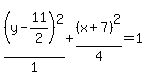
%28x%2B7%29%5E2+%2B+%28y-7%29%5E2+=+49+
+%28y-7%29%5E2+=+49+-%28x%2B7%29%5E2
%28y-7%29%5E2+=+49+-%28x%5E2%2B14x%2B49%29
%28y-7%29%5E2+=+49+-x%5E2-14x-49
%28y-7%29%5E2+=+-x%5E2-14x
y-7+=+sqrt%28-x%5E2-14x%29
y+=+sqrt%28-x%5E2-14x%29%2B7+
solutions:
y+=+sqrt%28-x%5E2-14x%29%2B7+
y+=+-sqrt%28-x%5E2-14x%29%2B7+


%28x-1%29%5E2+-+%28y%2B8%29%5E2+=+1+
%28x-1%29%5E2+-+1+=+%28y%2B8%29%5E2
%28y%2B8%29%5E2=%28x-1%29%5E2+-+1
%28y%2B8%29%5E2=x%5E2-2x%2B1+-+1
%28y%2B8%29%5E2=x%5E2-2x
y%2B8=sqrt%28x%5E2-2x%29
y=sqrt%28x%5E2-2x%29-8
solutions:
y=sqrt%28x%5E2-2x%29-8
y=-sqrt%28x%5E2-2x%29-8



%28x-9%29%5E2+-+%28y%2B8%29%5E2=+1
%28x-9%29%5E2+-+1=+%28y%2B8%29%5E2
%28y%2B8%29%5E2=x%5E2-18x%2B81+-+1
%28y%2B8%29%5E2=x%5E2-18x%2B80
y%2B8=sqrt%28x%5E2-18x%2B80%29
y=sqrt%28x%5E2-18x%2B80%29-8
solutions:
y=sqrt%28x%5E2-18x%2B80%29-8
y=-sqrt%28x%5E2-18x%2B80%29-8


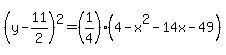
%28y-11%2F2%29%5E2%2F1+%2B+%28x%2B7%29%5E2%2F4+=+1+
%28y-11%2F2%29%5E2++=+1+-%28x%2B7%29%5E2%2F4
%28y-11%2F2%29%5E2++=+4%2F4+-%28x%5E2%2B14x%2B49%29%2F4
%28y-11%2F2%29%5E2++=+%281%2F4%29%284+-%28x%5E2%2B14x%2B49%29%29
%28y-11%2F2%29%5E2++=+%281%2F4%29%284+-x%5E2-14x-49%29
%28y-11%2F2%29%5E2++=+%281%2F4%29%28+-x%5E2-14x-45%29
y-11%2F2+=+sqrt%28%281%2F4%29%28+-x%5E2-14x-45%29%29
y-11%2F2+=%281%2F2%29+sqrt%28%28+-x%5E2-14x-45%29%29
y+=%281%2F2%29+sqrt%28%28+-x%5E2-14x-45%29%29%2B11%2F2
y+=%281%2F2%29+%28sqrt%28+-x%5E2-14x-45%29%2B11%29
solutions:
y+=%281%2F2%29+%28sqrt%28+-x%5E2-14x-45%29%2B11%29
y+=-%281%2F2%29+%28sqrt%28-x%5E2-14x-45%29%2B11%29


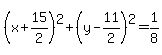
%28x%2B15%2F2%29%5E2+%2B+%28y-11%2F2%29%5E2+=+1%2F8
%28x%5E2%2B2%2815%2F2%29x%2B%2815%2F2%29%5E2%29+%2B+%28y-11%2F2%29%5E2+=+1%2F8
+%28y-11%2F2%29%5E2+=+1%2F8-x%5E2%2B15x%2B225%2F4%29
%28y-11%2F2%29%5E2+=+1%2F8-x%5E2-15x-225%2F4
%28y-11%2F2%29%5E2+=+1%2F8-x%5E2-15x-450%2F8
%28y-11%2F2%29%5E2+=+-x%5E2-15x-449%2F8
y-11%2F2=+sqrt%28-x%5E2-15x-449%2F8%29
y=+sqrt%28-x%5E2-15x-449%2F8%29%2B11%2F2
solutions:
y=+sqrt%28-x%5E2-15x-449%2F8%29%2B11%2F2
y=+-sqrt%28-x%5E2-15x-449%2F8%29%2B11%2F2

%28x%2B7%29%5E2=y-1+
%28x%2B7%29%5E2%2B1=y+
x%5E2%2B14x%2B49%2B1=y+
y=x%5E2%2B14x%2B50



%28x-15%29%5E2=%28y-3%29
%28x-15%29%5E2=y-3
y=%28x-15%29%5E2%2B3
y=x%5E2-30x%2B225%2B3
y+=+x%5E2-30x%2B228