Question 971482: Find the Equation of the ellipse whose ends of major axis at (-10, 4) and (4, 4) and passing trough the point (-4, 9) Answer by lwsshak3(11628) (Show Source):
You can put this solution on YOUR website! Find the Equation of the ellipse whose ends of major axis at (-10, 4) and (4, 4) and passing trough the point (-4, 9)
***
center: (-3,4)
length of major axis=14=2a
a=7
a^2=49
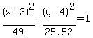
equation:
solve for b^2 by plugging in coordinates of given point(-4,9) on the ellipse
b^2=49*25/48=25.52
equation: