SOLUTION: How would you put this into the equation for an ellipse 4x^2+16y^2+32x+63=0?

Algebra ->  Quadratic-relations-and-conic-sections -> SOLUTION: How would you put this into the equation for an ellipse 4x^2+16y^2+32x+63=0?       Log On


   



Question 954818: How would you put this into the equation for an ellipse 4x^2+16y^2+32x+63=0?

Found 2 solutions by addingup, MathLover1:
Answer by addingup(3677) About Me  (Show Source):
You can put this solution on YOUR website!
63 + 32x + 4x^2 + 16y^2 = 0, the graph points are:
{x, -4.6, -3.4}, {y, -0.31, 0.31}

Answer by MathLover1(20850) About Me  (Show Source):
You can put this solution on YOUR website!

the equation for an ellipse is:
%28x-h%29%5E2%2Fa%5E2%2B%28y-k%29%5E2%2Fb%5E2=1
where
a is the radius along the x-axis
b is the radius along the y-axis
h, k are the x,y coordinates of the ellipse's center

4x%5E2%2B16y%5E2%2B32x%2B63=0
%284x%5E2%2B32x%29%2B16y%5E2%2B63=0
4%28x%5E2%2B8x%2B_%29-4%2A_%2B16y%5E2%2B63=0
4%28x%5E2%2B8x%2B4%5E2%29-4%2A4%5E2%2B16y%5E2%2B63=0
4%28x%2B4%29%5E2-4%2A16%2B16y%5E2%2B63=0
4%28x%2B4%29%5E2-64%2B16y%5E2%2B63=0
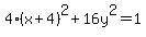
4%28x%2B4%29%5E2%2B16y%5E2-1=0
4%28x%2B4%29%5E2%2B16y%5E2=1
=> h=-4, k=0=> the center is at (-4, 0)