SOLUTION: Find the standard form of the equation of the ellipse with Major axis of length 8 and foci (5,1) and (-1,1)

Algebra ->  Quadratic-relations-and-conic-sections -> SOLUTION: Find the standard form of the equation of the ellipse with Major axis of length 8 and foci (5,1) and (-1,1)      Log On


   



Question 935933: Find the standard form of the equation of the ellipse with Major axis of length 8 and foci (5,1) and (-1,1)
Found 4 solutions by lwsshak3, josgarithmetic, TimothyLamb, Edwin McCravy:
Answer by lwsshak3(11628) About Me  (Show Source):
You can put this solution on YOUR website!
Find the standard form of the equation of the ellipse with Major axis of length 8 and foci (5,1) and (-1,1)
***
Given ellipse has a horizontal major axis
Its standard form of equation: %28x-h%29%5E2%2Fa%5E2%2B%28y-k%29%5E2%2Fb%5E2=1, a>b, (h,k)=coordinates of center.
..
center: (2,1)
Given length of major axis=8=2a
a=4
a^2=16
c=3
c^2=9
c^2=a^2-b^2
b^2=a^2-c^2=16-9=7
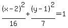
equation: %28x-2%29%5E2%2F16%2B%28y-1%29%5E2%2F7=1

Answer by josgarithmetic(39620) About Me  (Show Source):
You can put this solution on YOUR website!
Here is some of the information:

a=4, center is (2,1), and the distance from center to either focus is c=3. You want the value for b, and there is a relationship among a, b, and c.
c%5E2=a%5E2-b%5E2.

standard form of a general unrotated two dimensional ellipse is %28x-h%29%5E2%2Fa%5E2%2B%28y-k%29%5E2%2Fb%5E2=1 for a center at (h,k).

Answer by TimothyLamb(4379) About Me  (Show Source):
You can put this solution on YOUR website!
---
standard ellipse equation:
---
(x - h)^2/aa + (y - k)^2/bb = 1
where 0 < b < a
---
the foci lie on a horizontal line (both have y=1)
---
the foci are 6 units apart ... 5 - (-1) = 6 ...
so the center of the ellipse is 3 units from either focus (c = 3) ...
hence the center of the ellipse is at (2,1)
---
h and k are the x,y coordinates of the center:
h = 2
k = 1
---
find aa and bb:
---
the major axis is 8 units long:
2a = 8
a = 4
aa = 16
---
recall the formula: cc = aa - bb
bb = aa - cc
bb = 4*4 - 3*3
bb = 7
---
answer:
(x - 2)(x - 2)/16 + (y - 1)(y - 1)/7 = 1
---
Free algebra tutoring live chat:
https://sooeet.com/chat.php?gn=algebra
---
Solve and graph linear equations:
https://sooeet.com/math/linear-equation-solver.php
---
Solve quadratic equations with quadratic formula:
https://sooeet.com/math/quadratic-formula-solver.php
---
Solve systems of linear equations up to 6-equations 6-variables:
https://sooeet.com/math/system-of-linear-equations-solver.php
---

Answer by Edwin McCravy(20059) About Me  (Show Source):
You can put this solution on YOUR website!
The other tutors don't draw graphs.  But you can never 
learn conics if you don't draw graphs.  

Draw the foci which are given as (-1,1) and (5,1):



1. Plot the foci (-1,1) and (5,1).

This tells us that we have an ellipse like this drawing%2820%2C10%2C-2%2C2%2C-1%2C1%2Carc%280%2C0%2C-3.9%2C1.9%29+%29, which has equation

%28x-h%29%5E2%2Fa%5E2%2B%28y-k%29%5E2%2Fb%5E2=1

The center (h,k) is the midpoint between the two foci which is (2,1),
We plot that.



So we can fill in h and k in the equation h=2, k=1.

%28x-2%29%5E2%2Fa%5E2%2B%28y-1%29%5E2%2Fb%5E2=1

Now we draw the major axis which is 8 units long, with its center
bisecting it, so it is 4 units to the right of the center and 4
units left of the senter.  So we draw the major axis in green:



We know that a is the length of the semi-major axis or half of the major
axis, so a=4, and we can fill in a=4 in the equation

%28x-2%29%5E2%2F4%5E2%2B%28y-1%29%5E2%2Fb%5E2=1

Ther vertices are the endpoints of the major axis, so they are (-2,1) and
(6,1). We plot those:

 

Next we calculate b, the length of the semi-minor axis from the equation:
"c" is the distance from the focus to the center, which is 3 units.


c%5E2=a%5E2-b%5E2
3%5E2=4%5E2-b%5E2
b%5E2=4%5E2-3%5E2
b%5E2=16-9
b%5E2=7
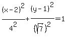
b=sqrt%287%29, about 2.65, and the center bisects the minor axis also.
so we draw in the minor axis also, about 2.65 up from the center, and
2.65 down from the center, like this:



And finally we can draw in the graph of the ellipse:



Since we now know that b=sqrt%287%29, the equation is now:

%28x-2%29%5E2%2F4%5E2%2B%28y-1%29%5E2%2F%28sqrt%287%29%29%5E2=1

or

%28x-2%29%5E2%2F16%2B%28y-1%29%5E2%2F7=1

Edwin