|
Question 911490: I have to find the coordinates of the focus, vertex, axis of symmetry, and directrix.
x=1/4y^2-1/2y-3
I got stuck after I factored out the 1/4. Thank you in advance!
Answer by AnlytcPhil(1806) (Show Source):
You can put this solution on YOUR website!   
The easiest way when there are fractions is to clear of fractions
first. Multiply through by 4
 
Add 12 to both sides
 
Complete the square on the right:
Multiply the coefficient of y by : = -1
Square that result
Add +1 to both sides
 
Factor the right side:
 
Factor 4 out of the left sides:
 
Multiply both sides by
 
Compare to
 
and we have vertex = (h,k) = ( ,1), 4p= , p=
It is a parabola with horizontal axis of symmetry, the green line below
whose equation is y=1, since 1 is the y-coordinate of the vertex.
To find the focus we know it is p= of a unit right of the vertex,
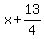
so we add to the x-coordinate of the vertex:
and the y-coordinate of the focus is
the same as the y-coordinate of the vertex, or 1.
So the focus is the point ( ,1)
The directrix is a blue line p= of a unit left of the vertex.
So the equation of the directrix is
The focus is the point ( ,1) marked just right of the vertex
and the directrix is the blue line :
Edwin
|
|
|
| |