SOLUTION: Please can anyone help me identify the points of the eq. 9x^2+4y^2-54x-16y+61 and the graph of the ellipse.

Algebra ->  Quadratic-relations-and-conic-sections -> SOLUTION: Please can anyone help me identify the points of the eq. 9x^2+4y^2-54x-16y+61 and the graph of the ellipse.      Log On


   



Question 902544: Please can anyone help me identify the points of the eq. 9x^2+4y^2-54x-16y+61 and the graph of the ellipse.
Found 2 solutions by nerdybill, lwsshak3:
Answer by nerdybill(7384) About Me  (Show Source):
You can put this solution on YOUR website!
You need an = sign somewhere in your equation.
Please correct and re-submit.

Answer by lwsshak3(11628) About Me  (Show Source):
You can put this solution on YOUR website!
Please can anyone help me identify the points of the eq. 9x^2+4y^2-54x-16y+61 and the graph of the ellipse.
***
9x^2+4y^2-54x-16y+61
9x^2-54x+4y^2-16y+61
complete the square:
9(x^2-6x+9)+4(y^2-4y+4)=-61+81+16
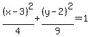
9(x-3)^2+4(y-2)^2=36
%28x-3%29%5E2%2F4%2B%28y-2%29%5E2%2F9=1
This is an equation of an ellipse with vertical major axis.
Its standard form of equation:%28x-h%29%5E2%2Fb%5E2%2B%28y-k%29%5E2%2Fa%5E2=1, a>b, (h,k)=coordinates of center
For given equation:
center: (3,2)
a^2=9
a=3
length of vertical major axis=2a=6
b^2=4
b=2
length of minor axis=2b=4
see graph below:
y=±(9-9(x-3)^2/4)^.5+2