SOLUTION: An ellipse with horizontal major axis, center at (4,3), its major axis is twice as long as its minor axis, passes through P(2,1). Find its equation.

Algebra ->  Quadratic-relations-and-conic-sections -> SOLUTION: An ellipse with horizontal major axis, center at (4,3), its major axis is twice as long as its minor axis, passes through P(2,1). Find its equation.      Log On


   



Question 893725: An ellipse with horizontal major axis, center at (4,3), its major axis is twice as long as its minor axis, passes through P(2,1). Find its equation.
Found 2 solutions by josgarithmetic, lwsshak3:
Answer by josgarithmetic(39620) About Me  (Show Source):
You can put this solution on YOUR website!
This is not a complete solution:

%28x-4%29%5E2%2Fa%5E2%2B%28y-3%29%5E2%2Fb%5E2=1, and a%2Fb=2; and your given point on the ellipse (2,1) gives %282-4%29%5E2%2Fa%5E2%2B%281-3%29%5E2%2Fb%5E2=1; you should be able to solve for a and b.

Solve this system:

highlight_green%28system%28a%2Fb=2%2C4%2Fa%5E2%2B4%2Fb%5E2=1%29%29

Answer by lwsshak3(11628) About Me  (Show Source):
You can put this solution on YOUR website!
An ellipse with horizontal major axis, center at (4,3), its major axis is twice as long as its minor axis, passes through P(2,1). Find its equation.
***
Standard form of equation for an ellipse with horizontal major axis:
%28x-h%29%5E2%2Fa%5E2%2B%28y-k%29%5E2%2Fb%5E2=1, a>b, (h,k)=coordinates of center
..
given center: (4,3)
a=2b
%282-4%29%5E2%2F%282b%29%5E2%2B%281-3%29%5E2%2Fb%5E2=1
%28-2%29%5E2%2F%282b%29%5E2%2B%28-2%29%5E2%2Fb%5E2=1
4%2F4b%5E2%2B4%2Fb%5E2=1
1%2Fb%5E2%2B4%2Fb%5E2=1
5/b^2=1
b^2=5
b=√5
a=2b=2√5
a^2=20
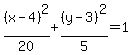
Equation: %28x-4%29%5E2%2F20%2B%28y-3%29%5E2%2F5=1