SOLUTION: What is the conic section represented here and give its standard equation: 4y^2-x^2-2x-24y+19=0

Algebra ->  Quadratic-relations-and-conic-sections -> SOLUTION: What is the conic section represented here and give its standard equation: 4y^2-x^2-2x-24y+19=0      Log On


   



Question 892943: What is the conic section represented here and give its standard equation: 4y^2-x^2-2x-24y+19=0
Answer by lwsshak3(11628) About Me  (Show Source):
You can put this solution on YOUR website!
What is the conic section represented here and give its standard equation:
4y^2-x^2-2x-24y+19=0
-x^2-2x+4y^2-24y=-19
complete the square
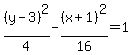
-(x^2+2x+1)+4(y^2-6y+9)=-19-1+36
-(x+1)^2+4(y-3)^2=16
%28y-3%29%5E2%2F4-%28x%2B1%29%5E2%2F16=1
This is an equation of a hyperbola with vertical transverse axis and center at (-1,3)