SOLUTION: what is the equation of a ellipse graph that has a center of (-3,2),and its horizontal axis is of length 2, and its vertical axis is of length 6?
Algebra ->
Quadratic-relations-and-conic-sections
-> SOLUTION: what is the equation of a ellipse graph that has a center of (-3,2),and its horizontal axis is of length 2, and its vertical axis is of length 6?
Log On
Question 881689: what is the equation of a ellipse graph that has a center of (-3,2),and its horizontal axis is of length 2, and its vertical axis is of length 6? Found 2 solutions by Alan3354, Edwin McCravy:Answer by Alan3354(69443) (Show Source):
You can put this solution on YOUR website! what is the equation of a ellipse graph that has a center of (-3,2),and its horizontal axis is of length 2, and its vertical axis is of length 6?
-------
The semi-axes are
x: a = 1
y: b = 3
Center (h,k)
----
The other tutor's answer is correct, but he uses "a"
and "b" in reverse of the usual way. "a" is the length of
the semi-major axis and "b" is the length of the semi-minor
axis.
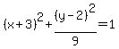
(h,k) = (-3,2), a=3, half of 6, b=1, half of 2
Edwin