SOLUTION: Can you please answer this question? Classify the conic: x^2+y^2-6x-3y-6=0

Algebra ->  Quadratic-relations-and-conic-sections -> SOLUTION: Can you please answer this question? Classify the conic: x^2+y^2-6x-3y-6=0      Log On


   



Question 879970: Can you please answer this question?
Classify the conic: x^2+y^2-6x-3y-6=0

Answer by Fombitz(32388) About Me  (Show Source):
You can put this solution on YOUR website!
Complete the square in x and y.
x%5E2%2By%5E2-6x-3y-6=0
x%5E2-6x%2B9%2By%5E2-3y%2B9%2F4-6=9%2B9%2F4
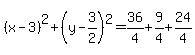
%28x-3%29%5E2%2B%28y-3%2F2%29%5E2=36%2F4%2B9%2F4%2B24%2F4
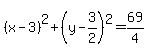
%28x-3%29%5E2%2B%28y-3%2F2%29%5E2=69%2F4
It's a circle centered at (3,3%2F2) with a radius of sqrt%2869%29%2F2