SOLUTION: What is the standard form of the equation of the conic:5x^2-4y^2-30x-16y+9=0

Algebra ->  Quadratic-relations-and-conic-sections -> SOLUTION: What is the standard form of the equation of the conic:5x^2-4y^2-30x-16y+9=0       Log On


   



Question 878042: What is the standard form of the equation of the conic:5x^2-4y^2-30x-16y+9=0

Answer by Fombitz(32388) About Me  (Show Source):
You can put this solution on YOUR website!
Complete the square in x and y.
5x%5E2-4y%5E2-30x-16y%2B9=0
5x%5E2-30x-4y%5E2-16y%2B9=0
5%28x%5E2-6x%29-4%28y%5E2-4y%29%2B9=0
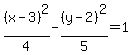
5%28x%5E2-6x%2B9%29-4%28y%5E2-4y%2B4%29=5%2A9-4%2A4-9
5%28x-3%29%5E2-4%28y-2%29%5E2=20
%28x-3%29%5E2%2F4-%28y-2%29%5E2%2F5=1