SOLUTION: I need the standard form of the equation of the parabola with it's focus at 12,0 and it's directrix at x=-12 if you could help please do! thanks!

Algebra ->  Quadratic-relations-and-conic-sections -> SOLUTION: I need the standard form of the equation of the parabola with it's focus at 12,0 and it's directrix at x=-12 if you could help please do! thanks!      Log On


   



Question 865117: I need the standard form of the equation of the parabola with it's focus at 12,0 and it's directrix at x=-12 if you could help please do! thanks!
Answer by josgarithmetic(39620) About Me  (Show Source):
You can put this solution on YOUR website!
You have an unknown set of points (x,y) and each of these points is equidistant from (-12,0) as from (12,0). Use the distance formula to arrange this statement or description in symbolic form and then simplify.

sqrt%28%28x-12%29%5E2%2B%28y%29%5E2%29=sqrt%28%28x-%28-12%29%29%5E2%2B%28y-y%29%5E2%29
%28x-12%29%5E2%2By%5E2=%28x%2B12%29%5E2%2B0
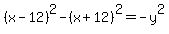
%28x-12%29%5E2-%28x%2B12%29%5E2=-y%5E2
x%5E2-24x%2B144-%28x%5E2-24x%2B144%29=-y%5E2
-48x=-y%5E2
highlight%28x=%281%2F48%29y%5E2%29

The vertex is (0,0). The equation is in standard form, and the typical vertex (h,k) is according to h=0 and k=0.