SOLUTION: find the equation of the ellipse that has its foci at (-1,2) and (-5,2) and a=3

Algebra ->  Quadratic-relations-and-conic-sections -> SOLUTION: find the equation of the ellipse that has its foci at (-1,2) and (-5,2) and a=3      Log On


   



Question 861383: find the equation of the ellipse that has its foci at (-1,2) and (-5,2) and a=3
Answer by lwsshak3(11628) About Me  (Show Source):
You can put this solution on YOUR website!
find the equation of the ellipse that has its foci at (-1,2) and (-5,2) and a=3
***
Given data shows ellipse has a horizontal major axis.
Its standard form of equation: %28x-h%29%5E2%2Fa%5E2%2B%28y-k%29%5E2%2Fb%5E2=1, a>b, (h,k)=coordinates of center
x-coordinate of center=-3
y-coordinate of center=2
center: (-3,2)
a=3
a^2=9
c=2(distance from center to foci on the major axis)
c^2=4
c^2=a^2-b^2
b^2=a^2-c^2=9-4=5
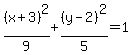
equation of given ellipse: %28x%2B3%29%5E2%2F9%2B%28y-2%29%5E2%2F5=1