SOLUTION: Find an equation in standard form for the hyperbola centered at (1, -4), with one focus at (7, -4) and eccentricity e=2. . The work I have: Since c is the distance between the f

Algebra ->  Quadratic-relations-and-conic-sections -> SOLUTION: Find an equation in standard form for the hyperbola centered at (1, -4), with one focus at (7, -4) and eccentricity e=2. . The work I have: Since c is the distance between the f      Log On


   



Question 860695: Find an equation in standard form for the hyperbola centered at (1, -4), with one focus at (7, -4) and eccentricity e=2.
.
The work I have:
Since c is the distance between the foci and center, c=7-1=6
c^2=a^2+b^2=36
Since e=c/a=2, c/a=2/1=6/3
Since c/a= sqrt.(a^2-b^2)/a, 6/3= sqrt.(9-b^2)/3.
36=9-b^2
27=-b^2
-27=b^2
So the equation would be [(x-1)^2]/9-[(y+4)^2]/-27.
but the -27 would change the sign of the y to +
so it'd be [(x-1)^2]/9+[(y+4)^2]/-27
But isn't the standard form for hyperbolas [(x-h)^2]/a^2-[(y+k)^2]/b^2?
How can it be a + and still be a hyperbola?
Please tell me if I'm doing something wrong.

Answer by ewatrrr(24785) About Me  (Show Source):
You can put this solution on YOUR website!
 
Hi,
re TY: Foci sqrt%28a%5E2%2Bb%5E2%29units units up and down from center
there is NO minus to consider (You may be thinking of the ellipse format)
hyperbola centered at (1, -4), with one focus at (7, -4) and eccentricity e=2.
Center, Vertices and foci along y = -4
Yes!
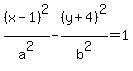
%28x-1%29%5E2%2Fa%5E2-%28y%2B4%29%5E2%2Fb%5E2+=+1
2 = c/a and Yes, c = 6 and a = 3
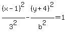
%28x-1%29%5E2%2F3%5E2-%28y%2B4%29%5E2%2Fb%5E2+=+1
sqrt(9+ 27) = 6, b^2 = 27 |Foci sqrt%28a%5E2%2Bb%5E2%29units units up and down from center
%28x-1%29%5E2%2F9-%28y%2B4%29%5E2%2F27+=+1