SOLUTION: Vertices at (-1,3) and (5,3) length of minor axis 4 Write the equation of the ellipse that satisfies the given conditions

Algebra ->  Quadratic-relations-and-conic-sections -> SOLUTION: Vertices at (-1,3) and (5,3) length of minor axis 4 Write the equation of the ellipse that satisfies the given conditions       Log On


   



Question 857512: Vertices at (-1,3) and (5,3) length of minor axis 4
Write the equation of the ellipse that satisfies the given conditions

Answer by lwsshak3(11628) About Me  (Show Source):
You can put this solution on YOUR website!
Vertices at (-1,3) and (5,3) length of minor axis 4
Write the equation of the ellipse that satisfies the given conditions
***
ellipse has a horizontal major axis
Its standard form of equation:%28x-h%29%5E2%2Fa%5E2%2B%28y-k%29%5E2%2Fb%5E2=1
x-coordinate of center: 2
y-coordinate of center: 3
center: (2,3)
length of major axis=6=2a
a=3
a^2=9
length of minor axis=4=2b
b=2
b^2=4
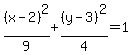
Equation of given ellipse:%28x-2%29%5E2%2F9%2B%28y-3%29%5E2%2F4=1