Question 848401: find the equation of the ellipse having the following properties :
1. center at (3,5), vertex at (-2,5) focus at (6,5).
2.Center at (2,3) vertex at (2,-1) and LR=9/2
3. center at origin, focus at (squareroot of 3,0) passing through (1, squareroot of 3/2)
Answer by lwsshak3(11628) (Show Source):
You can put this solution on YOUR website! find the equation of the ellipse having the following properties :
1. center at (3,5), vertex at (-2,5) focus at (6,5).
2.Center at (2,3) vertex at (2,-1) and LR=9/2
3. center at origin, focus at (squareroot of 3,0) passing through (1, squareroot of 3/2)
***
Standard form of equation for an ellipse with horizontal major axis:
, a>b, (h,k)=(x,y) coordinates of center.
Standard form of equation for an ellipse with vertical major axis:
, a>b, (h,k)=(x,y) coordinates of center.
...
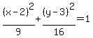
1. center at (3,5), vertex at (-2,5) focus at (6,5).
Ellipse has a horizontal major axis.
center: (3,5)
a=5 (distance from center to vertices)
a^2=25
c=3
c^2=9
c^2=a^2-b^2
b^2=a^2-c^2=25-9=16
Equation of given ellipse:

...
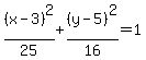
2.Center at (2,3) vertex at (2,-1) and LR=9/2
Ellipse has a vertical major axis.
center:(2,3)
a=4 (3 to -1) and (3 to 7)(center to vertices)
a^2=16
latus rectum=2b^2/a=2b^2/4=b^2/2
b^2/2=9/2
b^2=9
Equation of given ellipse:

...
3. center at origin, focus at (squareroot of 3,0) passing through (1, squareroot of 3/2)
Repost for another smarter tutor to solve.
|
|
|