SOLUTION: Find the vertices and foci of the hyperbola. 16x2 − y2 − 64x − 4y + 44 = 0

Algebra ->  Quadratic-relations-and-conic-sections -> SOLUTION: Find the vertices and foci of the hyperbola. 16x2 − y2 − 64x − 4y + 44 = 0      Log On


   



Question 834063: Find the vertices and foci of the hyperbola.
16x2 − y2 − 64x − 4y + 44 = 0

Answer by lwsshak3(11628) About Me  (Show Source):
You can put this solution on YOUR website!
Find the vertices and foci of the hyperbola.
16x2 − y2 − 64x − 4y + 44 = 0
***
16x^2-64x-y^2+4y=-44
hyperbola has a horizontal transverse axis.
Its standard form of equation:%28x-h%29%5E2%2Fa%5E2-%28y-k%29%5E2%2Fb%5E2=1
complete the square
16(x^2-4x+4)-(y^2-4y+4)=-44+64-4
16(x-2)^2-(y-2)^2=16
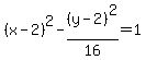
equation:%28x-2%29%5E2-%28y-2%29%5E2%2F16=1
center: (2,2)
a^2=1
a=1
vertices: (2±a,2)=(2±1,2)=(1,2) and (3,2)
b^2=16
b=4
c^2=a^2+b^2=1+16=17
c=√17≈4.1
foci:(2±c,2)=(2±4.1,2)=(-2.1,2) and (6.1,2)