SOLUTION: Write the standard form equation of each ellipse given Center (-3,3) Vertex (-10,3) C^2= 33

Algebra ->  Quadratic-relations-and-conic-sections -> SOLUTION: Write the standard form equation of each ellipse given Center (-3,3) Vertex (-10,3) C^2= 33      Log On


   



Question 828410: Write the standard form equation of each ellipse given
Center (-3,3)
Vertex (-10,3)
C^2= 33

Answer by lwsshak3(11628) About Me  (Show Source):
You can put this solution on YOUR website!
Write the standard form equation of each ellipse given
Center (-3,3)
Vertex (-10,3)
C^2= 33
***
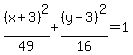
Given data shows this is an ellipse with horizontal major axis.
Its standard form of equation: %28x-h%29%5E2%2Fa%5E2%2B%28y-k%29%5E2%2Fb%5E2=1, a>b, (h,k)=(x,y) coordinates of center.
..
a=7 (distance from center to vertices)
a^2=49
..
c^2=a^2-b^2
b^2=a^2-c^2=49-33=16
..
equation:
%28x%2B3%29%5E2%2F49%2B%28y-3%29%5E2%2F16=1