SOLUTION: I need to weite the equation in standard form. 2x^2+4y^2+8x-24y=8.

Algebra ->  Quadratic-relations-and-conic-sections -> SOLUTION: I need to weite the equation in standard form. 2x^2+4y^2+8x-24y=8.       Log On


   



Question 823045: I need to weite the equation in standard form. 2x^2+4y^2+8x-24y=8.
Answer by ewatrrr(24785) About Me  (Show Source):
You can put this solution on YOUR website!
 
Hi,
write the equation in standard form.
2x^2+4y^2+8x-24y=8
x^2+2y^2+4x-12y=4
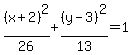
x^2 + 4x + 2y^2 - 12y = 4 |Completing the squares
(x+2)^2 - 4 +2(y-3)^2 - 18 = 4
(x+2)^2 +2(y-3)^2 = 26
+%28x%2B2%29%5E2%2F26++%2B%28y-3%29%5E2%2F13+=+1 Ellipse C(-2,3)