Hi,
How do you find the endpoint of
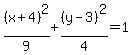
0r 
C(-4,3), Major Axis from P(-7,3) to P(-1,3) and Minor Axis from P(-4,1) to (-4,5)
Standard Form of an Equation of an Ellipse is
where Pt(h,k) is the center. (a variable positioned to correspond with major axis)
a and b are the respective vertices distances from center