SOLUTION: write equation for hyperbola with verticies (6,8) (6,0) and asymptotoes y=8(x-6)

Algebra ->  Quadratic-relations-and-conic-sections -> SOLUTION: write equation for hyperbola with verticies (6,8) (6,0) and asymptotoes y=8(x-6)      Log On


   



Question 817425: write equation for hyperbola with verticies (6,8) (6,0) and asymptotoes y=8(x-6)
Answer by lwsshak3(11628) About Me  (Show Source):
You can put this solution on YOUR website!
write equation for hyperbola with verticies (6,8) (6,0) and asymptotoes y=8(x-6)
***
Given hyperbola has a vertical transverse axis.
Its standard form of equation: %28y-k%29%5E2%2Fa%5E2-%28x-h%29%5E2%2Fb%5E2=1, (h,k)=(x,y) coordinates of center
For given hyperbola:
center: (6,4)
length of vertices=8=2a
a=4
a^2=16
asymptote:
y=8(x-6)
y=8x-48
slope=8
slopes of hyperbolas wit vertical transverse axis=±a/b
a/b=±8
b=a/±8=4/±8=±1/2
b^2=1/4
..
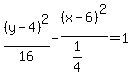
Equation of given hyperbola:
%28y-4%29%5E2%2F16-%28x-6%29%5E2%2F%281%2F4%29=1