SOLUTION: Write an equation for the ellipse in standard form whose foci: (-3,4) and (7,4) passes through the point (2,1)

Algebra ->  Quadratic-relations-and-conic-sections -> SOLUTION: Write an equation for the ellipse in standard form whose foci: (-3,4) and (7,4) passes through the point (2,1)      Log On


   



Question 791154: Write an equation for the ellipse in standard form whose foci: (-3,4) and (7,4) passes through the point (2,1)
Answer by lwsshak3(11628) About Me  (Show Source):
You can put this solution on YOUR website!
Write an equation for the ellipse in standard form whose foci: (-3,4) and (7,4) passes through the point (2,1)
***
Given foci data shows ellipse has a horizontal major axis.
Its standard form of equation: %28x-h%29%5E2%2Fa%5E2%2B%28y-k%29%5E2%2Fb%5E2=1,a>b, (h,k)=(x,y) coordinates of center.
...
center: (2,4)
plug in coordinates of center and given point(2,1)
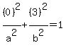
%282-2%29%5E2%2Fa%5E2%2B%284-1%29%5E2%2Fb%5E2=1
%280%29%5E2%2Fa%5E2%2B%283%29%5E2%2Fb%5E2=1
0+9/b^2=1
b^2=9
b=√9=3
c=5(distance from center to foci
c^2=25
c^2=a^2-b^2
a^2=c^2+b^2=25+9=34
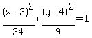
Equation of given ellipse:
%28x-2%29%5E2%2F34%2B%28y-4%29%5E2%2F9=1