SOLUTION: Complete the square to re-write the equation into standard form. 5x^2+20x+2y^2-28y=2

Algebra ->  Quadratic-relations-and-conic-sections -> SOLUTION: Complete the square to re-write the equation into standard form. 5x^2+20x+2y^2-28y=2      Log On


   



Question 782046: Complete the square to re-write the equation into standard form.
5x^2+20x+2y^2-28y=2

Answer by josgarithmetic(39620) About Me  (Show Source):
You can put this solution on YOUR website!
Take out a factor for the x's and another for the y's.
5x%5E2%2B20x%2B2y%5E2-28y=2
5%28x%5E2%2B4x%29%2B2%28y%5E2-14y%29=2

The square term for the x's is %284%2F2%29%5E2=4 and the one for the y's is %28-14%2F2%29%5E2=49.

5%28x%5E2%2B4x%2B4%29%2B2%28y%5E2-14y%2B49%29=2%2B5%2A4%2B2%2A49
Notice very carefully how we must use the factorization to properly add the same quantities to BOTH sides of the equation.

Factorize on the left and simplify on the right:
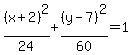
5%28x%2B2%29%5E2%2B2%28y-7%29%5E2=120

Divide both sides by 120:
%28x%2B2%29%5E2%2F24%2B%28y-7%29%5E2%2F60=1
You might want further refinement for the a^2=60 and your b^2=24