SOLUTION: I need help on understanding parabolas and how to solve them.
The vertex of this parabola is at (-2,-3). When the x-value is -1, the y-value is -5. What is the coefficient of the
Algebra ->
Quadratic-relations-and-conic-sections
-> SOLUTION: I need help on understanding parabolas and how to solve them.
The vertex of this parabola is at (-2,-3). When the x-value is -1, the y-value is -5. What is the coefficient of the
Log On
Question 775143: I need help on understanding parabolas and how to solve them.
The vertex of this parabola is at (-2,-3). When the x-value is -1, the y-value is -5. What is the coefficient of the squared expression in the parabola's equation? Answer by reviewermath(1029) (Show Source):
You can put this solution on YOUR website! Q:
The vertex of this parabola is at (-2,-3). When the x-value is -1, the y-value is -5. What is the coefficient of the squared expression in the parabola's equation?
---------------------------------------------------------------------
A:
The vertex of parabola (quadratic function) with equation is (h,k).
If the vertex is (-2,-3), then h = -2, k = -3 and the quadratic function is . Substitute x = -1 and y = -5.
-5 = a-3
a = -2
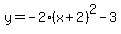
Therefore, OR
The coefficient of the squared expression is .