SOLUTION: Find the minor axis vertices on the ellipse x^2 + 4y^2 + 12x - 32 y +96 = 0? I don't understand how to do this, thanks in advance for your help!

Algebra ->  Quadratic-relations-and-conic-sections -> SOLUTION: Find the minor axis vertices on the ellipse x^2 + 4y^2 + 12x - 32 y +96 = 0? I don't understand how to do this, thanks in advance for your help!       Log On


   



Question 768228: Find the minor axis vertices on the ellipse x^2 + 4y^2 + 12x - 32 y +96 = 0? I don't understand how to do this, thanks in advance for your help!

Found 2 solutions by lwsshak3, MathLover1:
Answer by lwsshak3(11628) About Me  (Show Source):
You can put this solution on YOUR website!
Find the minor axis vertices on the ellipse x^2 + 4y^2 + 12x - 32 y +96 = 0?
***
x^2+ 12x + 4y^2 - 32 y +96 = 0
complete the square:
(x^2+12x+36)+4(y^2-8y+16)=-96+36+64
(x+6)^2+4(y-4)^2=4
(x+6)^2/4+(y-4)^2=1
This is an equation of an ellipse with horizontal major axis.
Its standard form: %28x-h%29%5E2%2Fa%5E2%2B%28y-k%29%5E2%2Fb%5E2=1, a>b, (h,k)=(x,y) coordinates of center
For given ellipse:
center: (-6,4)
b^2=1
b=1
minor axis vertices: (-6,4±b)=(-6, 4±1)=(-6,3) and (-6,5)

Answer by MathLover1(20850) About Me  (Show Source):
You can put this solution on YOUR website!

x%5E2+%2B+4y%5E2+%2B+12x+-+32+y+%2B96+=+0.....rearrange terms
x%5E2%2B+12x+%2B+4y%5E2++-+32+y+%2B96=0
%28x%5E2+%2B+12x%2B_+%29%2B+%284y%5E2++-+32y+%2B_%29%2B96=0.......complete the square, write 96 as
100-4 then write 100 as 36%2B64
x%5E2+%2B+12x%2B36+%2B+4y%5E2++-+32y+%2B64-4=0....group
%28x%5E2+%2B+12x%2B36+%29%2B+4%28y%5E2++-+8y+%2B16%29-4=0
%28x%2B6+%29%5E2%2B+4%28y++-+4%29%5E2-4=0
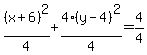
%28x%2B6+%29%5E2%2B+4%28y++-+4%29%5E2=4.......both sides divide by 4
%28x%2B6+%29%5E2%2F4%2B+4%28y++-+4%29%5E2%2F4=4%2F4
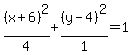
%28x%2B6+%29%5E2%2F4%2B+%28y++-+4%29%5E2%2F1=1
h=-6 and k=4,
a=2 and b=1
c%5E2=a%5E2%2Bb%5E2
c%5E2=4%2B1
c=sqrt%285%29
The distance from the center to either focus is the fixed value c. The distance from the center to a vertex is the fixed value a.
so center is at (-6,4)
the length of the whole major axis is a=2
the length of the whole minor axis is b=1
vertices: (-8,4) and (-4,4)